中科院地化所在嫦娥五号月壤矿物中发现存在高含量的水
来源:哈哈体育 发布日期:2022-09-20 浏览:
遥感探测发现月表普遍存在水(OH/H2O),而由于缺乏直接的样品分析证据,月表水的成因和分布存在争议。近日,中国科公司比较行星学卓越创新中心成员、中科院地球化学研究所唐红、李雄耀团队,针对嫦娥五号月壤样品开展研究,通过红外光谱和纳米离子探针分析,发现嫦娥五号矿物表层中存在大量的太阳风成因水,估算出太阳风质子注入为嫦娥五号月壤贡献的水含量至少为170 ppm。结合透射电镜与能谱分析,研究揭示了太阳风成因水的形成与保存主要受矿物的暴露时间、晶体结构和成分等的影响。该研究证实了月表矿物是水的重要“储库”,为月表中纬度地区水的分布提供了重要参考。
Cassini、Deep Impact、Chandrayaan-1任务搭载的红外光谱仪均探测到月表广泛分布的太阳风成因水,而对Apollo样品的分析仅发现胶结质玻璃、火山玻璃和斜长石中的水与太阳风来源有关。当前,对月表不同矿物中太阳风成因水的形成和保存特征认识不足,需要结合月球样品开展深入分析。
中国嫦娥五号任务在月球风暴洋东北部(43.06°N, 51.92°W)采集了1.731 kg月壤样品,该采样点纬度高于以往Apollo和Luna任务的采样点。此外,同位素定年结果表明嫦娥五号样品年龄约为20亿年,是目前获得的最年轻的月球样品。与Apollo样品相比,嫦娥五号样品采样位置和形成年龄独特,为探究月表水的含量和分布提供了全新的窗口。辉石、斜长石和橄榄石作为嫦娥五号月壤中的主要组成物质,是探究太阳风成因水储量的最佳载体。本研究针对嫦娥五号月壤样品中的辉石、橄榄石和斜长石矿物开展研究,剖析了不同矿物中水的成因、含量与赋存状态,并由此评估了嫦娥五号月壤的水含量以及月表中纬度地区的水分布。
红外反射光谱(图1)分析发现,嫦娥五号矿物普遍在3,200 ~ 3,800 cm-1存在一个较宽的吸收峰,表明OH的存在。其中,在CE-PL2斜长石中发现3,300 cm-1存在一个小的吸收峰以及1,640 cm-1存在一个较宽的吸收峰,表明H2O的存在。基于地球样品红外反射光谱校正确定了嫦娥五号矿物中的整体水含量,其中,橄榄石(CE-OL1、CE-OL2、CE-OL3)的水含量为152 ± 14 ~311 ± 30 ppm、斜长石(CE-PL1、CE-PL2、CE-PL3)的水含量为231 ± 16 ~ 385 ± 27 ppm、辉石(CE-PY1、CE-PY2)的水含量为134 ± 19 ~ 199 ± 28 ppm。纳米离子探针(NanoSIMS)分析了矿物最表层约200nm范围内的水含量和氢同位素比值,橄榄石表层水含量为916 ± 38 ~ 4483 ± 314 ppm、斜长石表层水含量为1798 ± 81 ~ 4476 ± 142 ppm、辉石表层水含量为3471 ± 166 ~ 5962 ± 335 ppm。氢同位素分析显示这些水显著富H贫D的特征(δD = –773 ± 188 ~ –945 ± 384 ‰),接近太阳风的氢同位素比值(δD ≈ –1,000 ‰)。红外反射光谱和NanoSIMS分析得到的水含量差异主要归因于测试深度的差异,指示了矿物中的水主要分布在极表层内。矿物中水富集在表层内和高度贫D的特征,指示了水的太阳风来源,且水主要以OH的形式存在,少部分或以H2O的形式存在。
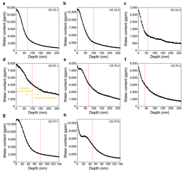
透射电镜(TEM)图像显示,橄榄石、斜长石和辉石极表层均为部分非晶化和/或完全非晶化的环带(图2),能谱分析表明这些非晶质环带成分与下层晶体一致,证明了非晶质环带的形成是太阳风注入导致的。非晶质环带厚度主要在40~100 nm范围内,而水含量最高的斜长石(CE-PL1)与其他样品显著不同,其表层存在一个厚度约100 nm的完全非晶化环带,下部为厚度约400nm的部分非晶化环带。结合TEM和NanoSIMS分析绘制了嫦娥五号矿物中太阳风成因水的深度剖面图,如图3所示,矿物中最表层水含量最高,非晶质环带内随深度增加水含量急速减少,向下层晶体内缓慢减少。太阳风成因水的纵向分布特征表明,太阳风成因水主要分布在非晶质环带中,少量可以扩散进入内部晶体中。
月表的翻腾作用导致月壤颗粒暴露在太阳风中的时间不同即矿物中注入的太阳风质子总量不同,致使太阳风成因水的含量不同。太阳风粒子注入会造成矿物表面结构破坏,因而环带的非晶化程度可以评估矿物的暴露时间。研究对比表层微观结构和水含量分析结果发现,矿物表层水含量与非晶质环带的厚度和非晶化程度总体上呈正相关,同时与下层晶体中的辐射径迹密度趋势一致,指示了矿物的太阳风暴露时间是影响太阳风成因水含量的主要因素。然而,CE-OL1橄榄石样品尽管水含量最高,但非晶化程度和辐射径迹密度低。这是由于该样品相对于其他橄榄石Mg含量更高,在相同的暴露时间下晶体结构相对难以破坏。而本研究中的斜长石样品化学成分相似,其中CE-PL1比其他斜长石非晶化程度和水含量明显更高,主要是太阳风质子注入的晶面方向不同所致。
结合嫦娥五号月壤矿物组成,本研究估算了嫦娥五号地区月壤中的太阳风成因水含量至少为170 ppm。这一数值显著高于月球内部水,因而研究认为太阳风质子注入是嫦娥五号地区月壤中水的主要来源。此外,嫦娥五号月壤成熟度分析指示了其相对不成熟的特征,考虑到遥感探测发现的月表中纬度地区太阳风成因水与月壤成熟度正相关,表明在月表中纬度地区(如风暴洋北部和雨海盆地)月壤成熟度与嫦娥五号地区相似,可能存在近似含量的太阳风成因水;而风暴洋西北侧的高地地区月壤相对成熟,该地区月壤中可能存在更高含量的太阳风成因水。该研究揭示了月壤矿物中高含量的太阳风成因水,评估了月表中纬度地区太阳风成因水分布情况,为未来月表水资源利用提供了重要依据,并为太阳系无大气天体(如水星、小行星)太阳风成因水的形成机制提供了重要参考。
相关研究成果发表在《自然-通讯》(Nature Communications)上。研究工作得到中科院战略性先导科技专项、国家自然科学基金、中科院青年创新促进会、民用航天技术预先研究和中科院前沿科学重点研究计划等的支持。

图1.矿物水含量和氢同位素比值

图2.嫦娥五号矿物表层显微结构的TEM图

图3.嫦娥五号矿物水含量深度剖面图