中科院城市环境所在城市功能形态与碳排放关系方面取得进展
来源:哈哈体育 发布日期:2023-03-01 浏览:
城市功能布局和居民的日常生活相关,例如,居民上下班往返于居住区域和工作区域,不合理的城市功能布局将可能延长居民的通勤距离,浪费时间,增加通勤疲惫感,还会导致资源能源耗费加大,从而产生更多的城市碳排放。因此,城市空间功能形态是城市规划、建设和管理的重要考虑因素之一。近年来,城市空间功能形态模型取得了重要进展,促进了大样本量下城市空间功能形态与城市碳排放关系的定量评估研究。
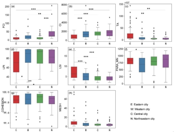
中国科公司城市环境研究所以中国178座城市为研究对象,分析了城市形态五个维度(紧凑度、扩张性、破碎度、不规则性和集中度)分别与城市CO2排放总量(TCE)、人均CO2排放量(PCE)的关系。同时,研究结合城市地形环境、空间结构和产业结构等因素,探究了不同情形下城市空间形态对CO2排放量影响的分异特征。
研究显示,城市形态的五个维度均对城市TCE具有显著影响,除破碎度外的四个城市形态维度对PCE有显著影响,其中,城市扩张度对CO2排放量的影响最大。紧凑度对TCE和PCE均有负向影响,其中,功能紧凑度(FCI)每增加1%,TCE和PCE分别减少0.79%和0.34%。碳减排政策的制定应充分考虑城市的地形环境、空间结构和产业结构。在平原和单中心城市,FCI的调整对于城市碳减排最为有效;在丘陵和山区城市、多中心城市和工业化程度高的城市,城市形态的综合规划和控制则更为重要。
研究表明,城市功能形态的调整对低碳城市发展具有重要的理论和实践意义。相较于缩减城市规模、改变城市不规则度、减少城市人口等措施,调整城市功能区布局更为可行,因此调整城市功能形态也是实现低碳城市发展的重要途径之一。
该工作通过实证研究量化了城市功能形态与碳排放之间的关系,识别了城市形态中影响碳排放的重要因素,提出了调整城市形态实现城市低碳发展的政策建议。
相关研究成果以Considerable role of urban functional form in low-carbon city development为题,发表在Journal of Cleaner Production上。研究工作得到国家自然科学基金和中科院战略性先导科技专项(A类)子课题的支持。

不同区域城市形态指标的分布特征。*、**、***表示结果分别在0.05、0.01、0.001水平上显著。
(来源:https://www.cas.cn/syky/202302/t20230223_4875748.shtml)
【上一篇】 中科院水保所植被恢复后土壤碳流过程研究取得进展
【下一篇】 中科院地球环境所叶片水同位素生态水文研究获进展